今本土增2例、境外增73例 無死亡個案

中央流行疫情指揮中心今(14)日公布國內新增75例COVID-19確定病例,分別為2例本土個案及73例境外移入(35例為航班落地採檢陽性);另確診個案無新增死亡。
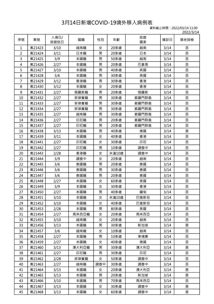
本土+2、境外+73 死亡0
指揮中心表示,今日新增本土個案為1例男性、1例女性,年齡分別為30多歲及20多歲。

指揮中心說明,今日新增境外移入個案為42例男性、30例女性、1例調查中,年齡介於未滿10歲至80多歲,分別自索羅門群島(6例)、越南(5例)、香港(4例)、泰國及美國(各3例)、新加坡、緬甸、印尼、德國、澳大利亞、馬來西亞及巴基斯坦(各2例)、巴拿馬、日本、英國、柬埔寨及俄羅斯(各1例)移入,另33例調查中。入境日介於今(2022)年2月27日至3月13日。


指揮中心統計,截至目前國內累計6,598,432例新型冠狀病毒肺炎相關通報(含6,576,603例排除),其中21,363例確診,分別為5,819例境外移入,15,490例本土病例,36例敦睦艦隊、3例航空器感染、1例不明及14例調查中;無新增空號病例,累計134例移除為空號。2020年起累計853例COVID-19死亡病例,其中839例本土,個案居住縣市分布為新北市413例、台北市322例、基隆市29例、桃園市28例、彰化縣15例、新竹縣13例、台中市5例、苗栗縣3例、宜蘭縣及花蓮縣各2例,新竹市、南投縣、雲林縣、台南市、高雄市、屏東縣及台東縣各1例;另14例為境外移入。
指揮中心再次呼籲,民眾應落實手部衛生、咳嗽禮節及佩戴口罩等個人防護措施,減少不必要移動、活動或集會,避免出入人多擁擠的場所,或高感染傳播風險場域,並主動積極配合各項防疫措施,共同嚴守社區防線。
延伸閱讀
- 採檢後症狀緩解 莊人祥:仍需自我健康監測10天2022/03/20
- 境外移入屢增!高雄供快篩 檢疫結束前先自篩2022/03/19
- 今本土+1、境外+74 無死亡個案2022/03/18
- 高雄今增本土13例 某職場累計11人確診2022/03/24
- 嘉義婚宴群聚+2 個案曾至新北新莊火鍋店2022/03/20
- 本土+6、境外大增120例 無死亡個案2022/03/19
- 今本土+10 境外增79例 無死亡個案2022/03/22
- 即日起調整快篩期程 自主健康管理第2、4天就得篩2022/03/17
- 3/18本土+1!嘉義業務Ct值11.4 感染源不明2022/03/19
- 今本土+3、境外再增118例 無死亡個案2022/03/20
- 本土確診「增至2位數」新增15例! 無死亡個案2022/03/24
- 今本土+5 境外增93例 無死亡個案2022/03/21








