今增6本土、63境外移入 無死亡個案

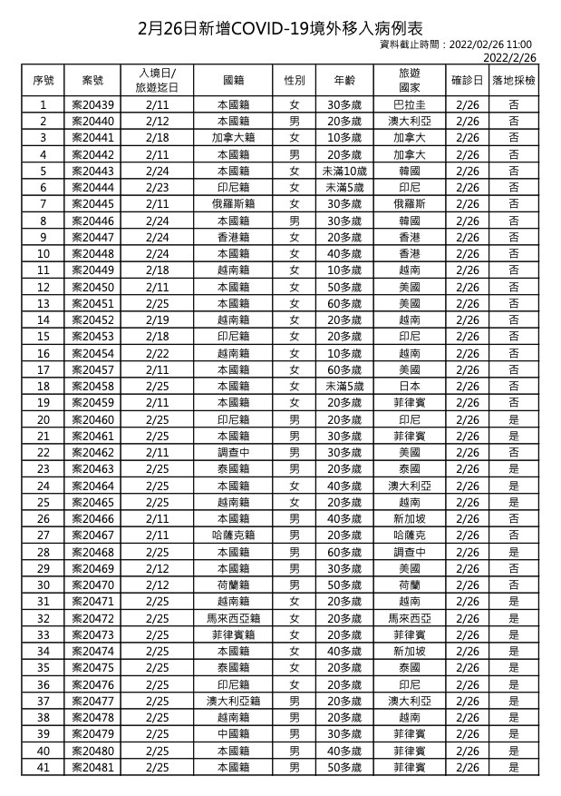
中央流行疫情指揮中心今(26)日公布國內新增69例COVID-19確定病例,分別為6例本土個案及63例境外移入(40例為航班落地採檢陽性);另確診個案無新增死亡。
增5本土、63境外 無死亡個案
指揮中心表示,今日新增本土個案為5例男性、1例女性,年齡介於未滿10至40多歲。

指揮中心說明,今日新增境外移入個案為32例男性、31例女性,年齡介於未滿5歲至60多歲,分別自菲律賓(7例)、越南(6例)、美國(5例)、印尼(4例)、澳大利亞(3例)、泰國、香港、新加坡、加拿大及韓國(各2例)、馬來西亞、哈薩克、荷蘭、日本、俄羅斯及巴拉圭(各1例)移入,另22例調查中。入境日介於今(2022)年2月11日至2月25日。
指揮中心統計,截至目前國內累計6,277,837例新型冠狀病毒肺炎相關通報(含6,257,088例排除),其中20,373例確診,分別為4,909例境外移入,15,410例本土病例,36例敦睦艦隊、3例航空器感染、1例不明及14例調查中;無新增空號病例,累計134例移除為空號。2020年起累計853例COVID-19死亡病例,其中839例本土,個案居住縣市分布為新北市413例、台北市322例、基隆市29例、桃園市28例、彰化縣15例、新竹縣13例、台中市5例、苗栗縣3例、宜蘭縣及花蓮縣各2例,新竹市、南投縣、雲林縣、台南市、高雄市、屏東縣及台東縣各1例;另14例為境外移入。


指揮中心再次呼籲,民眾應落實手部衛生、咳嗽禮節及佩戴口罩等個人防護措施,減少不必要移動、活動或集會,避免出入人多擁擠的場所,或高感染傳播風險場域,並主動積極配合各項防疫措施,共同嚴守社區防線。
延伸閱讀
- 今2本土.27境外 宮廟旅遊團群聚破案了2022/03/07
- 香港5日增逾3.7萬確診 死亡上升至150例2022/03/06
- 彰化+2 米迪幼園童連假赴彰傳染2表哥2022/03/03
- 本土增5例! 桃園米迪幼園鏈+4.宗教鏈+12022/03/03
- 今增3本土、40境外移入 無死亡個案2022/03/06
- 增2本土、62境外移入 無死亡個案2022/03/04
- 今增8例本土、72例境外 無死亡個案2022/03/05
- 【網路溫度計】拒當實聯制乖乖牌!十大不掃碼理由揭曉 擔心匡列隔離奪聲量季軍2022/03/03
- 今本土+5、境外移入+66 無死亡個案2022/03/03
- 3/7邊境鬆綁 旅行業者盼分階段解封2022/03/03
- 今增8本土、45境外移入 無死亡個案2022/03/08
- 今增2本土、27境外移入 無死亡個案2022/03/07








