今增4本土、66境外移入 無死亡個案

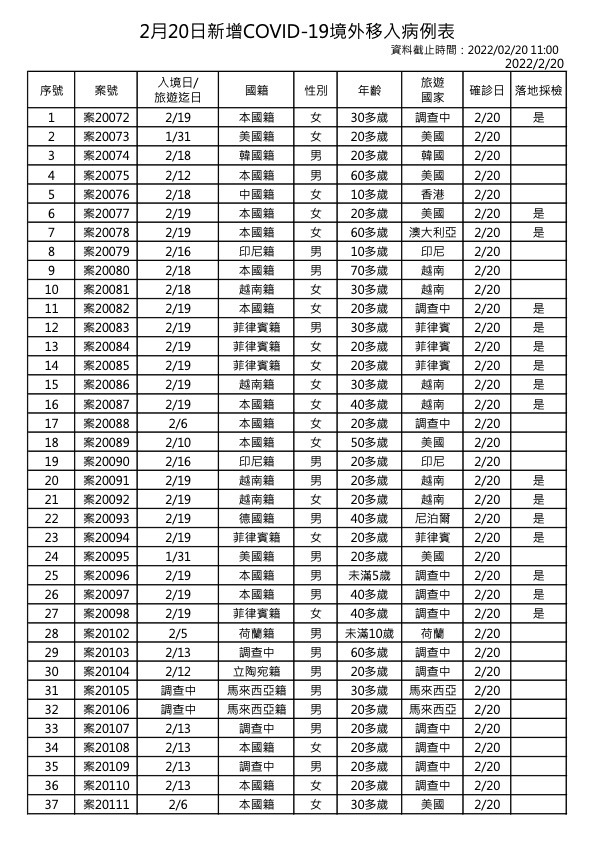
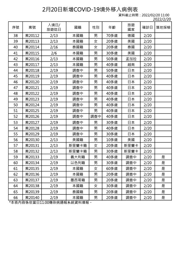
中央流行疫情指揮中心今(20)日公布國內新增70例COVID-19確定病例,分別為4例本土個案及66例境外移入(24例為航班落地採檢陽性);另確診個案無新增死亡。
增4本土、66境外 無死亡個案
指揮中心表示,今日新增本土個案為2例男性、2例女性,年齡介於20多歲至40多歲。

指揮中心說明,今日新增境外移入個案為41例男性、24例女性、1例調查中,年齡介於未滿5歲至70多歲,分別自日本(12例)、美國(9例)、越南(7例)、菲律賓(4例)、印尼、斯里蘭卡及馬來西亞(各2例)、泰國、孟加拉、尼泊爾、澳大利亞、荷蘭、香港、韓國及德國(各1例)移入;另20例調查中。入境日介於今(2022)年1月31日至2月19日。
至目前國內累計6,152,976例新型冠狀病毒肺炎相關通報(含6,132,517例排除),其中20,007例確診,分別為4,572例境外移入,15,381例本土病例,36例敦睦艦隊、3例航空器感染、1例不明及14例調查中;無新增空號病例,累計134例移除為空號。2020年起累計852例COVID-19死亡病例,其中839例本土,個案居住縣市分布為新北市413例、台北市322例、基隆市29例、桃園市28例、彰化縣15例、新竹縣13例、臺中市5例、苗栗縣3例、宜蘭縣及花蓮縣各2例,新竹市、南投縣、雲林縣、台南市、高雄市、屏東縣及台東縣各1例;另13例為境外移入。


指揮中心再次呼籲,民眾應落實手部衛生、咳嗽禮節及佩戴口罩等個人防護措施,減少不必要移動、活動或集會,避免出入人多擁擠的場所,或高感染傳播風險場域,並主動積極配合各項防疫措施,共同嚴守社區防線。
延伸閱讀
- 3學童染疫 新街國小.附幼停課14天2022/03/01
- 米迪幼園群聚+2 居隔確診.無社區風險2022/03/02
- 今增4本土、40境外移入 無死亡個案2022/03/01
- 米迪幼園群聚傳播迅速 醫籲兒童打疫苗2022/02/28
- 桃園米迪幼兒園鏈+7 其中5人未滿10歲2022/02/28
- 3/1防疫新制看這邊 口罩規範鬆綁、開放醫院探病2022/02/28
- 桃校園疫擴散! 新街國小3兄弟確診2022/03/01
- 1922每週三至五開放18歲以上民眾預約追加劑2022/03/01
- 桃幼園鏈"已4波感染" 李秉穎:非常需關心2022/03/02
- 新增9本土個案、47境外移入 桃幼兒園+72022/02/28
- 今增本土2例 境外移入47例、無死亡個案2022/03/02
- 桃園米迪幼兒園傳播鏈+5! 已19人染疫2022/02/28







