本土+8、境外移入增65例 無死亡個案

中央流行疫情指揮中心今(19)日公布國內新增73例COVID-19確定病例,分別為8例本土個案及65例境外移入(31例為航班落地採檢陽性);另確診個案無新增死亡。
增8本土、65境外 無死亡個案
指揮中心表示,今日新增本土個案為6例男性、2例女性,年齡介於未滿5歲至70多歲。

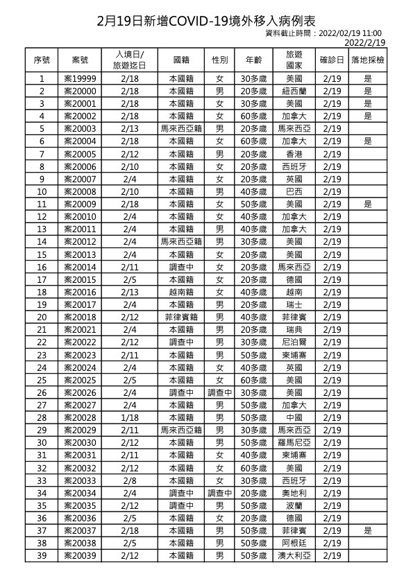
指揮中心說明,今日新增境外移入個案為39例男性、24例女性、2例調查中,年齡介於10多歲至60多歲,分別自美國(8例)、加拿大(5例)、馬來西亞(3例)、德國、英國、菲律賓、西班牙及柬埔寨(各2例)、瑞典、波蘭、羅馬尼亞、俄羅斯、瑞士、越南、尼泊爾、奧地利、香港、巴西、澳大利亞、紐西蘭、芬蘭、阿根廷及中國(各1例)移入;另24例調查中。入境日介於今(2022)年1月18日至2月18日。


指揮中心統計,截至目前國內累計6,130,479例新型冠狀病毒肺炎相關通報(含6,110,154例排除),其中19,937例確診,分別為4,506例境外移入,15,377例本土病例,36例敦睦艦隊、3例航空器感染、1例不明及14例調查中;無新增空號病例,累計134例移除為空號。2020年起累計852例COVID-19死亡病例,其中839例本土,個案居住縣市分布為新北市413例、台北市322例、基隆市29例、桃園市28例、彰化縣15例、新竹縣13例、臺中市5例、苗栗縣3例、宜蘭縣及花蓮縣各2例,新竹市、南投縣、雲林縣、台南市、高雄市、屏東縣及台東縣各1例;另13例為境外移入。
指揮中心再次呼籲,民眾應落實手部衛生、咳嗽禮節及佩戴口罩等個人防護措施,減少不必要移動、活動或集會,避免出入人多擁擠的場所,或高感染傳播風險場域,並主動積極配合各項防疫措施,共同嚴守社區防線。
延伸閱讀
- 港27日增2.6萬確診 醫院太平間"屍疊屍"2022/02/28
- 3/1防疫新制看這邊 口罩規範鬆綁、開放醫院探病2022/02/28
- 桃園米迪幼兒園傳播鏈+5! 已19人染疫2022/02/28
- 3學童染疫 新街國小.附幼停課14天2022/03/01
- 122.46萬劑莫德納疫苗今晚抵台2022/02/27
- 新增9本土個案、47境外移入 桃幼兒園+72022/02/28
- 桃園米迪幼兒園鏈+7 其中5人未滿10歲2022/02/28
- 增16本土、44境外移入 無死亡個案2022/02/27
- 桃校園疫擴散! 新街國小3兄弟確診2022/03/01
- 米迪幼園群聚傳播迅速 醫籲兒童打疫苗2022/02/28
- 今年自購第三批莫德納 112萬劑凌晨抵台2022/02/28
- 香港新冠確診暴增 26號單日1.7萬人確診2022/02/27








